Упр.278 ГДЗ Муравин 7 класс (Алгебра)
Решение #1

Рассмотрим вариант решения задания из учебника Муравин, Муравина 7 класс, Дрофа:
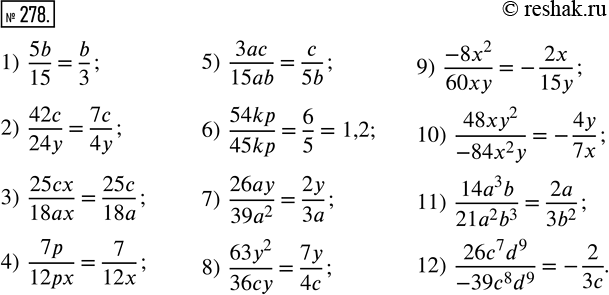
278. Сократите дробь:
1) 5b/15; 4) 7p/12px; 7) 26ay/39a^2; 10) 48xy^2/(-84x^2 y);
2) 42c/24y; 5) 3ac/15ab; 8) 63y^2/36cy; 11) (14a^3 b)/(21a^2 b^3);
3) 25cx/18ax; 6) 54kp/45kp; 9) (-8x^2)/60xy; 12) (26c^7 d^9)/(-39c^8 d^9).
*размещая тексты в комментариях ниже, вы автоматически соглашаетесь с пользовательским соглашением