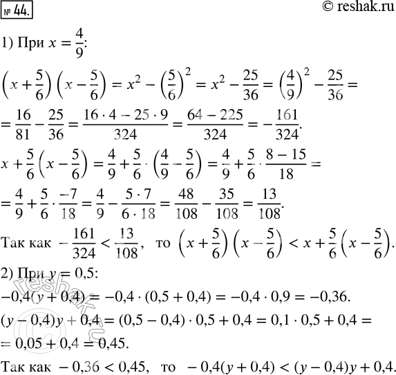
Упр.44 ГДЗ Муравин 7 класс (Алгебра)
Решение #1

Рассмотрим вариант решения задания из учебника Муравин, Муравина 7 класс, Дрофа:
44. Сравните значения выражений:
1) (x + 5/6)(x - 5/6) и x + 5/6 · (x - 5/6) при x = 4/9;
2) -0,4(y + 0,4) и (y - 0,4)y + 0,4 при y = 0,5.
*размещая тексты в комментариях ниже, вы автоматически соглашаетесь с пользовательским соглашением