№765 ГДЗ Рымкевич 10-11 класс (Физика)
Решение #1
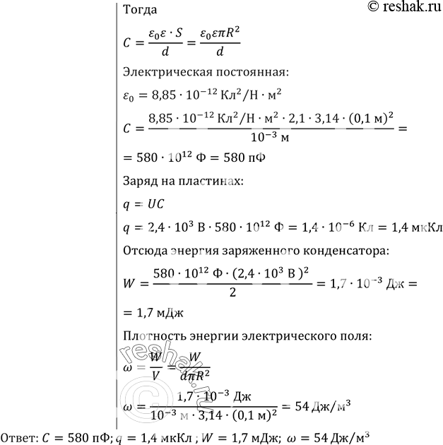
Решение #2

Рассмотрим вариант решения задания из учебника Рымкевич 10-11 класс, Дрофа:
Плоский конденсатор состоит из двух круглых пластин радиусом 10 см. Между пластинами находится слой диэлектрика толщиной 1 мм с диэлектрической проницаемостью 2,1. Заряжен конденсатор до напряжения 2,4 кВ. Найти емкость конденсатора, заряд на пластинах, энергию и плотность энергии электрического поля.
*размещая тексты в комментариях ниже, вы автоматически соглашаетесь с пользовательским соглашением