Упр.18.12 ГДЗ Мерзляк Поляков 8 класс (Алгебра)

Решение #1

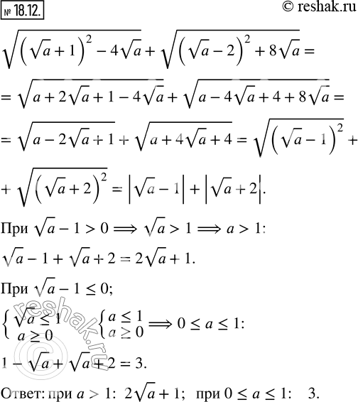
Изображение Упр.18.12 ГДЗ Мерзляк Поляков 8 класс
Загрузка...

Рассмотрим вариант решения задания из учебника Мерзляк, Поляков 8 класс, Вентана-Граф:
18.12. Упростите выражение v((va+1)^2-4va) +v((va-2)^2+8va) .
*Цитирирование задания со ссылкой на учебник производится исключительно в учебных целях для лучшего понимания разбора решения задания.
*размещая тексты в комментариях ниже, вы автоматически соглашаетесь с пользовательским соглашением