Упр.20.21 ГДЗ Мерзляк Поляков 8 класс (Алгебра)
Решение #1

Рассмотрим вариант решения задания из учебника Мерзляк, Поляков 8 класс, Вентана-Граф:
20.21. Решите уравнение:
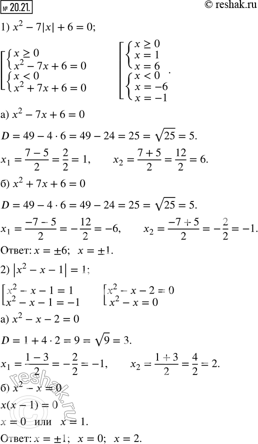
1) x^2-7|x|+6=0; 2) |x^2-x-1|=1;
3) x|x|+12x-45=0; 4) 3x^2+7|x|-6=0;
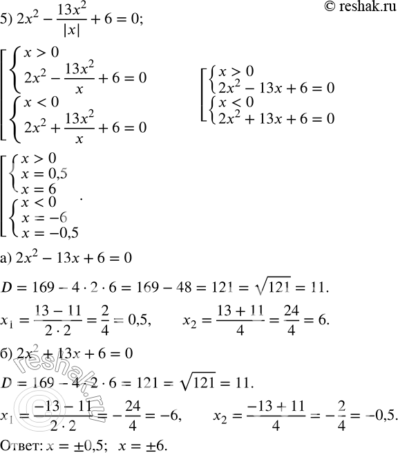
5) 2x^2-(13x^2)/|x| +6=0; 6) x^3/|x| -14x-15=0;
7) x^2-8v(x^2 )-9=0; 8) x^2+7v(x^2 )+12=0;
9) x^2+|x+4|=4; 10) x|x-2|-6x+8=0.
*размещая тексты в комментариях ниже, вы автоматически соглашаетесь с пользовательским соглашением