Упр.22.5 ГДЗ Мерзляк Поляков 7 класс (Алгебра)
Решение #1

Рассмотрим вариант решения задания из учебника Мерзляк, Поляков 7 класс, Вентана-Граф:
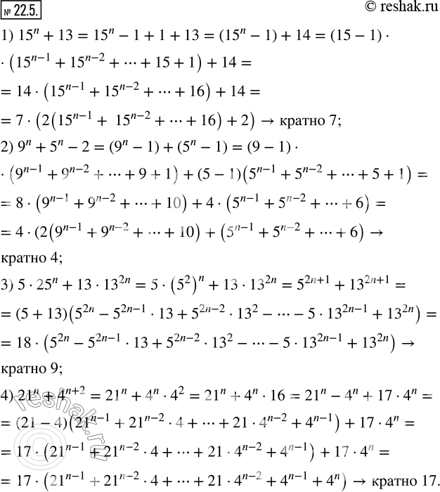
22.5. Докажите, что при любом натуральном n значение выражения:
1) 15^n +13 кратно 7;
2) 9^n +5^n -2 кратно 4;
3) 5·25^n +13·13^2n кратно 9;
4) 21^n +4^(n+2) кратно 17.
*размещая тексты в комментариях ниже, вы автоматически соглашаетесь с пользовательским соглашением