Упр.37.39 ГДЗ Мерзляк Поляков 7 класс (Алгебра)
Решение #1

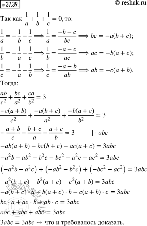
Рассмотрим вариант решения задания из учебника Мерзляк, Поляков 7 класс, Вентана-Граф:
37.39. Числа a, b и c таковы, что 1/a+1/b+1/c=0. Докажите, что ab/c^2 +bc/a^2 +ca/b^2 =3.
*размещая тексты в комментариях ниже, вы автоматически соглашаетесь с пользовательским соглашением