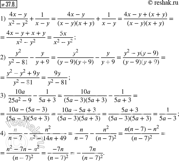
Упр.37.8 ГДЗ Мерзляк Поляков 7 класс (Алгебра)
Решение #1

Рассмотрим вариант решения задания из учебника Мерзляк, Поляков 7 класс, Вентана-Граф:
37.8. Упростите выражение:
1) (4x-y)/(x^2-y^2 )+1/(x-y);
2) y^2/(y^2-81)-y/(y+9);
3) 10a/(25a^2-9)-1/(5a+3);
4) n/(n-7)-n^2/(n^2-14n+49).
*размещая тексты в комментариях ниже, вы автоматически соглашаетесь с пользовательским соглашением