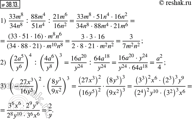
Упр.38.13 ГДЗ Мерзляк Поляков 7 класс (Алгебра)
Решение #1

Рассмотрим вариант решения задания из учебника Мерзляк, Поляков 7 класс, Вентана-Граф:
38.13. Упростите выражение:
1) (33m^8)/(34n^8 ) : (88m^4)/(51n^4 ) : (21m^6)/(16n^2 );
2) ((2a^5)/y^6 )^4 : ((4a^6)/y^8 )^3;
3) (-(27x^3)/(16y^5 ))^2·((8y^3)/(9x^2 ))^3.
*размещая тексты в комментариях ниже, вы автоматически соглашаетесь с пользовательским соглашением