Упр.39.19 ГДЗ Мерзляк Поляков 7 класс (Алгебра)
Решение #1

Рассмотрим вариант решения задания из учебника Мерзляк, Поляков 7 класс, Вентана-Граф:
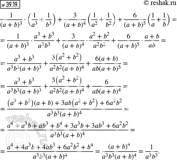
39.19. Упростите выражение
1/(a+b)^3 ·(1/a^3 +1/b^3 )+3/(a+b)^4 (1/a^2 +1/b^2 )+6/(a+b)^5 (1/a+1/b).
*размещая тексты в комментариях ниже, вы автоматически соглашаетесь с пользовательским соглашением