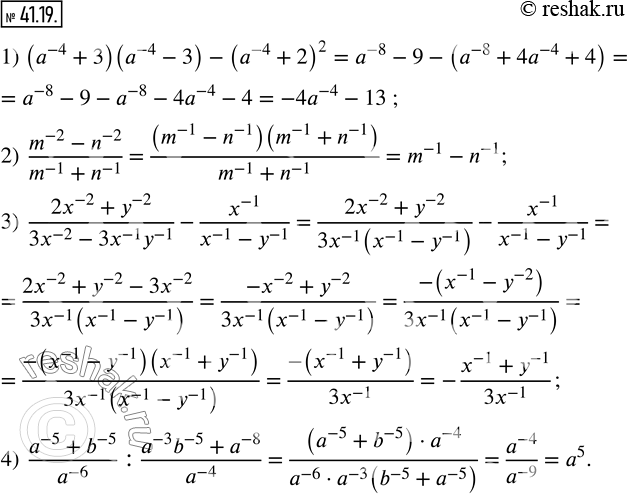
Упр.41.19 ГДЗ Мерзляк Поляков 7 класс (Алгебра)
Решение #1

Рассмотрим вариант решения задания из учебника Мерзляк, Поляков 7 класс, Вентана-Граф:
41.19. Упростите выражение:
1) (a^(-4)+3)(a^(-4)-3)-(a^(-4)+2)^2;
2) (m^(-2)-n^(-2))/(m^(-1)+n^(-1) );
3) (2x^(-2)+y^(-2))/(3x^(-2)-3x^(-1) y^(-1) )-x^(-1)/(x^(-1)-y^(-1) );
4) (a^(-5)+b^(-5))/a^(-6) :(a^(-3) b^(-5)+a^(-8))/a^(-4) .
*размещая тексты в комментариях ниже, вы автоматически соглашаетесь с пользовательским соглашением