Упр.477 Рабочая тетрадь №3 ГДЗ Мерзляк Полонский 6 класс (Математика)
Решение #1

Рассмотрим вариант решения задания из учебника Мерзляк, Полонский, Якир 6 класс, Вентана-Граф:
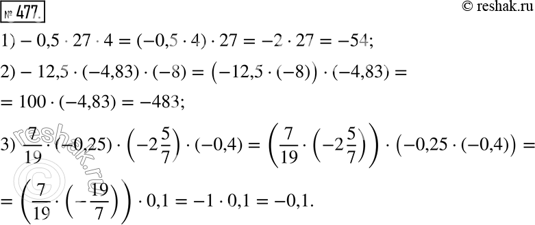
477. Вычислите наиболее удобным способом.
1) -0,5 · 27 · 4;
2) -12,5 · (-4,83) · (-8);
3) 7/19 · (-0,25) · (-2 5/7) · (-0,4).
*размещая тексты в комментариях ниже, вы автоматически соглашаетесь с пользовательским соглашением