Упр.9.58 ГДЗ Мордкович 7 класс (Алгебра)
Решение #1

Рассмотрим вариант решения задания из учебника Мордкович, Александрова 7 класс, Мнемозина:
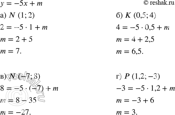
Найдите значение m, если известно, что график линейной функции у = -5х + m проходит через точку:
а) N(1; 2);
б) K(0,5; 4);
в) N(-7; 8);
г) Р(1,2; -3).
*размещая тексты в комментариях ниже, вы автоматически соглашаетесь с пользовательским соглашением