Упр.548 ГДЗ Алимов 10-11 класс (Алгебра)
Решение #1
Решение #2

Рассмотрим вариант решения задания из учебника Алимов, Колягин, Ткачёва 10 класс, Просвещение:
Вычислить (548—549).
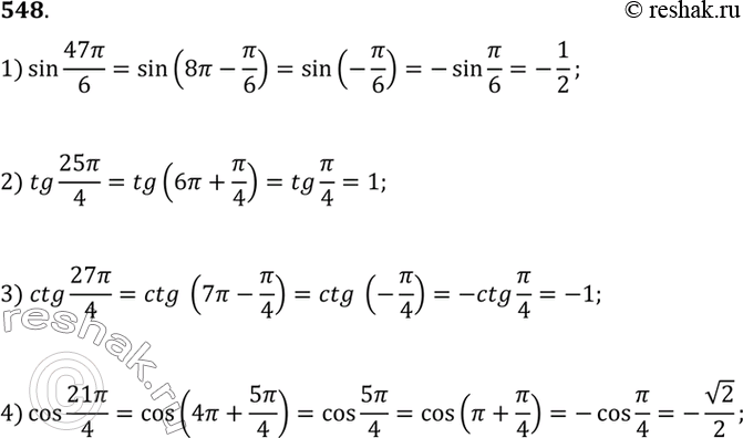
548 1) sin 47пи/6;
2) tg 25пи/4;
3) ctg 27пи/4;
4) cos 21пи/4.
*размещая тексты в комментариях ниже, вы автоматически соглашаетесь с пользовательским соглашением