Упр.1431 ГДЗ Алимов 10-11 класс (Алгебра)
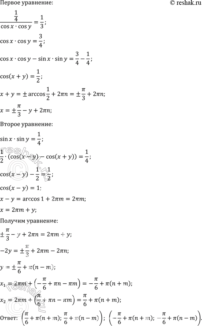
Решение #1
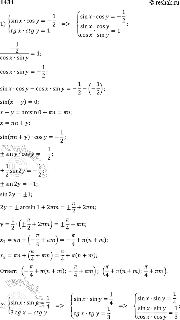
Решение #2

Рассмотрим вариант решения задания из учебника Алимов, Колягин, Ткачёва 11 класс, Просвещение:
1431 1) система
sinxcosy=-1/2,
tgxctgy=1;
2) система
sinxsiny=1/4,
3tgx=ctgy.
*размещая тексты в комментариях ниже, вы автоматически соглашаетесь с пользовательским соглашением